Obbligazioni con garanzia anti inflazione: ecco come funziona la protezione dall’inflazione nel BTP Italia

Dopo una pausa di due anni, di recente il Governo italiano ha nuovamente emesso un titolo della serie BTP Italia. L’obbligazione offre una protezione contro la perdita del potere d’acquisto tarata sull’inflazione italiana. In tempi di inflazione galoppante, si tratta quindi di un investimento più che allettante.  Ma com’è che si ottiene questa protezione dall’inflazione e quali sono le caratteristiche di un’obbligazione del genere? In questo articolo approfondiamo questi e altri aspetti.

 

BTP: Che cosa sono i Buoni del Tesoro poliennali?

Il BTP, che sta per Buono del Tesoro poliennale, è un titolo obbligazionario della durata di vari anni emesso dallo Stato. Assieme ai BOT (Buoni ordinari del Tesoro), che sono titoli di Stato a breve termine con durata inferiore a un anno, nonché ai due tipi di titoli di Stato a scadenza più lunga, ossia i CCT (Certificati di credito del Tesoro), con cedola variabile, e i CTZ (Certificati del Tesoro zero-coupon), i BTP costituiscono il gruppo più importante di titoli di Stato italiani in termini di volume di emissione. I BTP si differenziano dai CCT e dai CTZ per il fatto di avere un tasso di interesse semestrale fisso, mentre i primi hanno un tasso variabile e per i secondi non è previsto alcun pagamento di interessi per l’intera durata.

Una particolare sottocategoria di BTP è costituita dai BTP Italia, titoli di Stato pluriennali che vengono emessi dal 2012 e sono indicizzati all’inflazione nazionale. Accanto a questi, il Governo italiano emette anche altri titoli di Stato indicizzati all’inflazione che, tuttavia, a differenza del BTP Italia, sono legati all’inflazione europea. Questi sono in genere contrassegnati dalla sigla BTP€i e differiscono dal BTP Italia per alcuni dettagli.

Come funziona la protezione dall’inflazione nel BTP Italia?

Come per tutti i BTP, la cedola viene pagata ogni sei mesi. A tal fine, il tasso di interesse fisso viene applicato al capitale rivalutato che, a sua volta, è legato all’andamento dell’inflazione in Italia. L’innalzamento dei prezzi viene rilevato mensilmente dall’Istituto nazionale di statistica - ISTAT sulla base dell’indice nazionale dei prezzi al consumo per le famiglie di operai e impiegati (FOI). Se tra due scadenze cedolari si verifica un aumento dei prezzi, il capitale dell’obbligazione viene rivalutato secondo il tasso di inflazione e la cedola da corrispondere viene calcolata su tale capitale rivalutato.  Contrariamente a quato avviene nel caso dei BTP€i, a ogni scadenza cedolare viene erogata anche la rivalutazione del capitale. I titoli di Stato italiani legati all’inflazione europea, al contrario, corrispondono la rivalutazione determinata dall’inflazione solo alla scadenza del titolo. Il detentore di un BTP Italia è quindi in ogni momento al riparo sia dall’inflazione che dalla deflazione, dato che le tendenze deflazionistiche che dovessero manifestarsi nel corso della durata del titolo non vengono prese in considerazione ai fini del calcolo. I BTP€i, invece, garantiscono un’effettiva protezione contro la deflazione solo agli investitori che hanno sottoscritto il titolo all’atto dell’emissione. Nel corso della vita del titolo, invece, i meccanismi particolari fanno sì che si possano riflettere nel calcolo anche le tendenze deflazionistiche. In nessun caso, però, alla scadenza del titolo il cliente potrà ricevere meno del prezzo di rimborso fisso di 100.

Una particolarità del BTP Italia è data dal fatto che prima dell’inizio della fase di sottoscrizione, che di solito si protrae per diversi giorni, viene fissata una cedola minima. La cedola effettiva, che deve in ogni caso essere almeno pari alla cedola minima, viene stabilita solo al termine della fase di sottoscrizione e riflette le attuali condizioni di mercato.

Come si determina il rendimento del BTP Italia?

Come abbiamo già visto, il rendimento del BTP Italia è dato da un tasso di interesse fisso, ma dipende anche dagli eventi inflazionistici che interessano la Penisola. La rivalutazione, che viene operata ogni sei mesi, si applica sia al capitale investito che alle cedole. Uno dei pregi del BTP Italia è rappresentato dalla corresponsione del cosiddetto premio di fedeltà, che tuttavia è riservato a quegli investitori che detengono il titolo ininterrottamente dalla sua emissione alla scadenza. 

Come viene stabilita la quotazione del BTP Italia?

La quotazione di un BTP Italia è determinata, al pari delle altre obbligazioni negoziate in borsa, al momento del suo approdo in borsa. A seconda delle condizioni di mercato, dell’andamento dei tassi di interesse e delle aspettative di inflazione, le quotazioni possono risultare superiori o inferiori al prezzo effettivo di emissione pari a 100, non distinguendosi, sotto questo aspetto, dalle altre obbligazioni.

Il BTP Italia presenta particolari rischi?

I titoli di Stato pluriennali sono per natura un prodotto a rischio piuttosto modesto. Nel caso specifico del BTP Italia, il rendimento è commisurato all’andamento del costo della vita e offre quindi una protezione contro l’aumento dei prezzi. Come già descritto, la protezione è efficace anche in presenza di deflazione: il rendimento effettivo, infatti, non può scendere al di sotto del rendimento minimo garantito. In caso di deflazione, le cedole vengono calcolate sul capitale nominale e mai su un capitale inferiore. Alla scadenza è garantito il rimborso del valore nominale, aumentato dell’eventuale bonus.

Come per altri tipi di titoli governativi pluriennali, il rischio potenziale è legato alla possibilità di default dello Stato: è quindi sempre consigliabile inserire i prodotti in un portafoglio diversificato. Va poi tenuto presente che i BTP Italia sono soggetti alle clausole CACS, che consentono allo Stato di modificare la data di scadenza, il calcolo delle cedole, il momento del pagamento delle cedole – con relativo impatto sugli interessi – nonché altre condizioni contrattuali. Si tratta, peraltro, di un rischio del tutto teorico, che riguarda anche gli altri stati UE.

Quali costi comporta il titolo e come viene tassato?

Trattandosi di un titolo di Stato a medio-lungo termine, per la sottoscrizione del BTP Italia non sono previste commissioni di collocamento. Dopo la fine del periodo di sottoscrizione, invece, la banca addebiterà le usuali commissioni e spese sia per l’acquisto che per la vendita.

Come tutti i titoli di Stato italiani, le plusvalenze e gli interessi dei BTP Italia sono assoggettati all’aliquota fiscale agevolata del 12,5%.

Bonus: quali sono le modalità di calcolo dell’indicizzazione?

Sia al momento dell’emissione dell’obbligazione che a ogni successiva scadenza cedolare si procede al calcolo di un nuovo numero indice dei prezzi.

A tale scopo è necessario innanzitutto disporre di un indice di inflazione, ossia di un indice che rifletta l’andamento dell’inflazione nel corso del tempo. Nel caso del BTP Italia, come già evidenziato, si tratta dell’indice nazionale dei prezzi al consumo per le famiglie di operai e impiegati, in breve FOI.

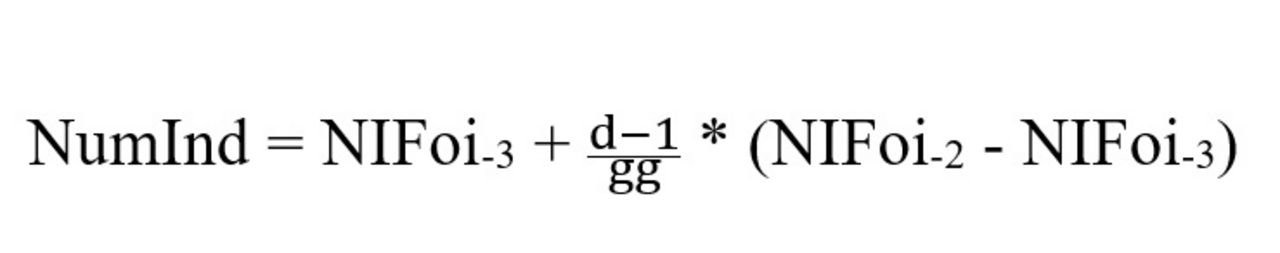
Non si fa tuttavia riferimento all’inflazione del mese in corso, non essendo questa di norma ancora pubblicata al momento del calcolo, bensì agli indici di inflazione relativi al secondo e al terzo mese precedenti la data di calcolo.  Il calcolo viene effettuato con la seguente formula:

dove:

NumInd            numero indice

NIFoi-3              indice di inflazione che precede di 3 mesi quello per il quale viene effettuato il calcolo

NIFoi-2              indice di inflazione che precede di 2 mesi quello per il quale viene effettuato il calcolo

d                      giorno del mese per cui si sta effettuando il calcolo

gg                    numero di giorni effettivi del mese per cui si sta effettuando il calcolo

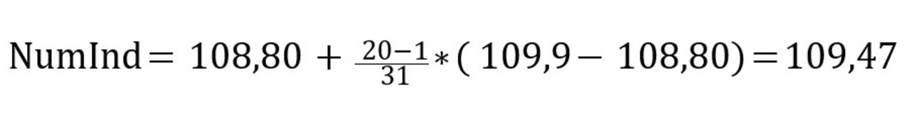
Volendo, ad esempio, calcolare il numero indice per il 20 maggio 2022 (Numero Indice), si dovrà utilizzare l’indice di inflazione del terzo mese precedente quello per il quale viene effettuato il calcolo, quindi di febbraio 2022 (108,80), nonché del secondo mese, ossia di marzo 2022 (109,90).

Inserendo i valori nella formula precedente si ottiene dunque:

Questo viene poi diviso per il rispettivo indice di inflazione di base di volta in volta applicabile, che viene fissato a ogni scadenza cedolare del BTP Italia in questione e rimane valido fino alla scadenza cedolare successiva. Come si ricorda, la rivalutazione viene corrisposta a ogni scadenza cedolare unitamente alla cedola, il che spiega la validità per l’intero periodo cedolare. Si ottiene così il coefficiente di indicizzazione con cui il capitale viene adeguato in funzione dell’inflazione. Questo valore non può mai essere inferiore a 1, il che assicura una protezione efficace anche contro la deflazione.

Dato che ogni BTP Italia, per via delle diverse scadenze cedolari, ha un proprio indice di inflazione di base, anche il coefficiente di indicizzazione è diverso per ciascun titolo.

Prendiamo come esempio il BTP Italia con scadenza 28 ottobre 2027: le sue cedole scadono il 28.04 e il 28.10 di ogni anno, per cui in tali due giorni vengono fissati anche gli indici di inflazione di base, che rimangono poi validi fino alla successiva scadenza cedolare.

Procediamo con il nostro esempio:

Al BTP Italia ottobre 2027, il 20 maggio 2022 si applica l’indice di inflazione di base che è stato determinato il 28 aprile mediante la stessa formula presentata in precedenza ed è pari a 108,69. Per determinare il fattore di rivalutazione del capitale dalla scadenza cedolare, il numero indice al 20 maggio 2022 viene diviso per l’indice di inflazione di base: 109,47/108,69 = 1,00721

Il coefficiente di indicizzazione è pertanto pari a 1,00721. La rivalutazione di una quota di BTP Italia ottobre 2027 del valore di 1.000 euro è stata pari, quindi, tra il 28 aprile e il 20 maggio 2022, a 7,21 euro.

Ovviamente non è necessario calcolare il coefficiente ogni volta, dal momento che il Ministero delle Finanze mette a disposizione sul proprio sito web i coefficienti di volta in volta in vigore. I dati si trovano mediante questo link e sono suddivisi in base alle varie emissioni di BTP Italia.